
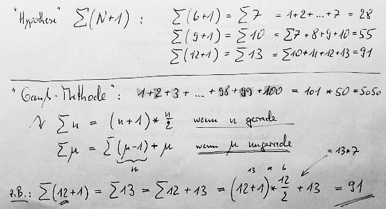
THE THEORY BEHIND / THE HYPOTHESIS ...
******************************************************************
... SKETCHES FROM A COFFEE TABLE CONVERSATION ...
Back to the "TRIOMINO" Page
impressum:
******************************************************************
© C.HAMANN http://public.BHT-Berlin.de/hamann 13/13/13